Variants
Alternate typefaces within formulas.
These functions are distinct from the text function because math fonts
contain multiple variants of each letter.
Function
serif
Serif (roman) font style in math.
This is already the default.
bodyRequiredRequiredRequired parameters must be specified when calling the function.PositionalPositionalPositional parameters can be set by specifying them in order, omitting the parameter name.
The content to style.
sans
Sans-serif font style in math.
$ sans(A B C) $

bodyRequiredRequiredRequired parameters must be specified when calling the function.PositionalPositionalPositional parameters can be set by specifying them in order, omitting the parameter name.
The content to style.
frak
Fraktur font style in math.
$ frak(P) $

bodyRequiredRequiredRequired parameters must be specified when calling the function.PositionalPositionalPositional parameters can be set by specifying them in order, omitting the parameter name.
The content to style.
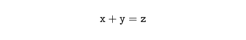
mono
Monospace font style in math.
$ mono(x + y = z) $

bodyRequiredRequiredRequired parameters must be specified when calling the function.PositionalPositionalPositional parameters can be set by specifying them in order, omitting the parameter name.
The content to style.
bb
Blackboard bold (double-struck) font style in math.
For uppercase latin letters, blackboard bold is additionally available
through symbols of the form NN and RR.
$ bb(b) $
$ bb(N) = NN $
$ f: NN -> RR $

bodyRequiredRequiredRequired parameters must be specified when calling the function.PositionalPositionalPositional parameters can be set by specifying them in order, omitting the parameter name.
The content to style.
cal
Calligraphic (chancery) font style in math.
Let $cal(P)$ be the set of ...

This is the default calligraphic/script style for most math fonts. See
scr for more on how to get the other style (roundhand).
bodyRequiredRequiredRequired parameters must be specified when calling the function.PositionalPositionalPositional parameters can be set by specifying them in order, omitting the parameter name.
The content to style.
scr
Script (roundhand) font style in math.
$scr(L)$ is not the set of linear
maps $cal(L)$.

There are two ways that fonts can support differentiating cal and scr.
The first is using Unicode variation sequences. This works out of the box
in Typst, however only a few math fonts currently support this.
The other way is using font features. For example, the
roundhand style might be available in a font through the
stylistic set 1 (ss01) feature. To use it in
Typst, you could then define your own version of scr like in the example
below.
#let scr(it) = text(
stylistic-set: 1,
$cal(it)$,
)
We establish $cal(P) != scr(P)$.

bodyRequiredRequiredRequired parameters must be specified when calling the function.PositionalPositionalPositional parameters can be set by specifying them in order, omitting the parameter name.
The content to style.